StikLeaf

21 the market economy Questions

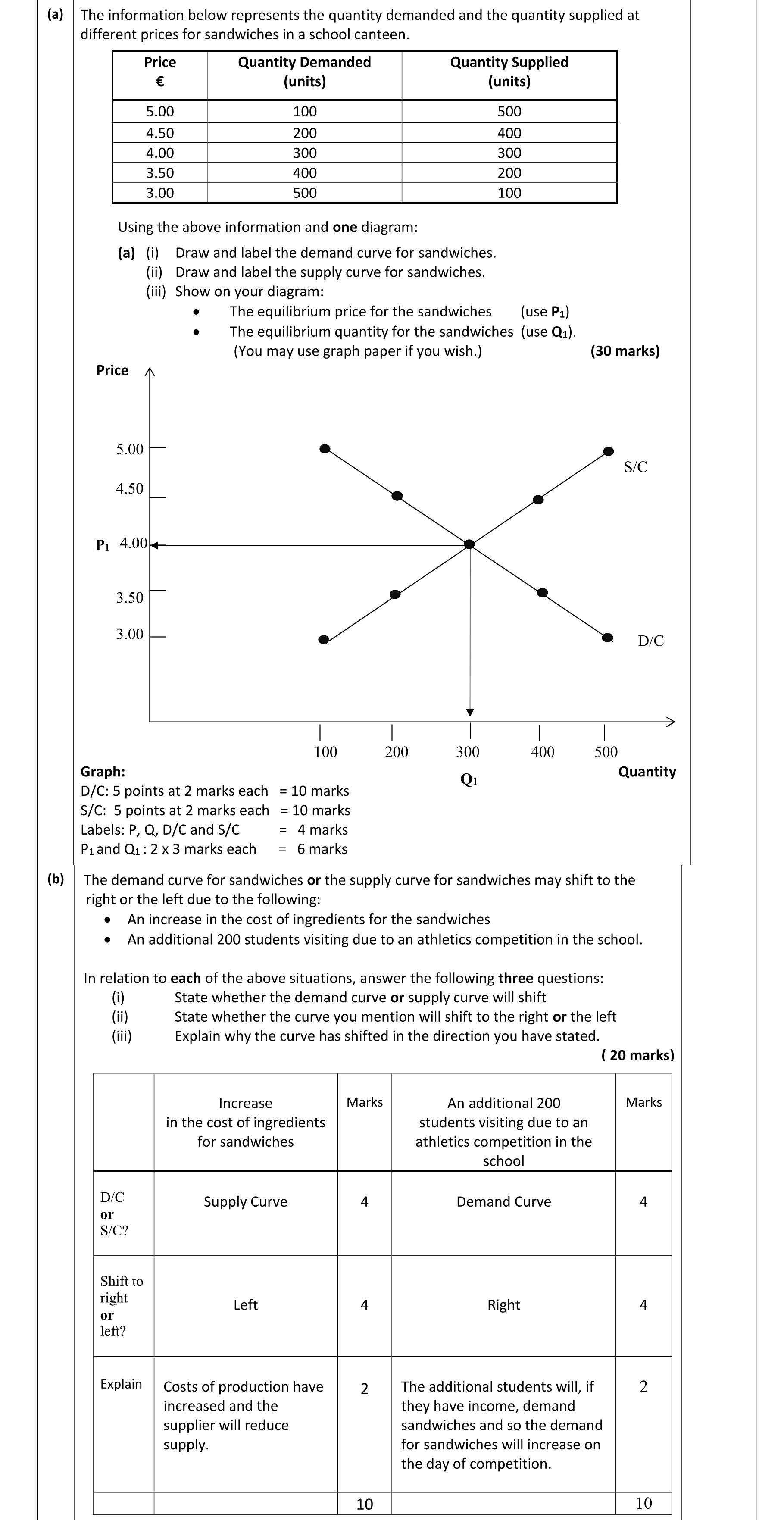
Leaving CertificateEconomicsOrdinary

Total Questions

48

With Solutions

46

Mock Papers

Soon...

Year Range

2006-2024

All Questions (48)