StikLeaf

write a story Questions

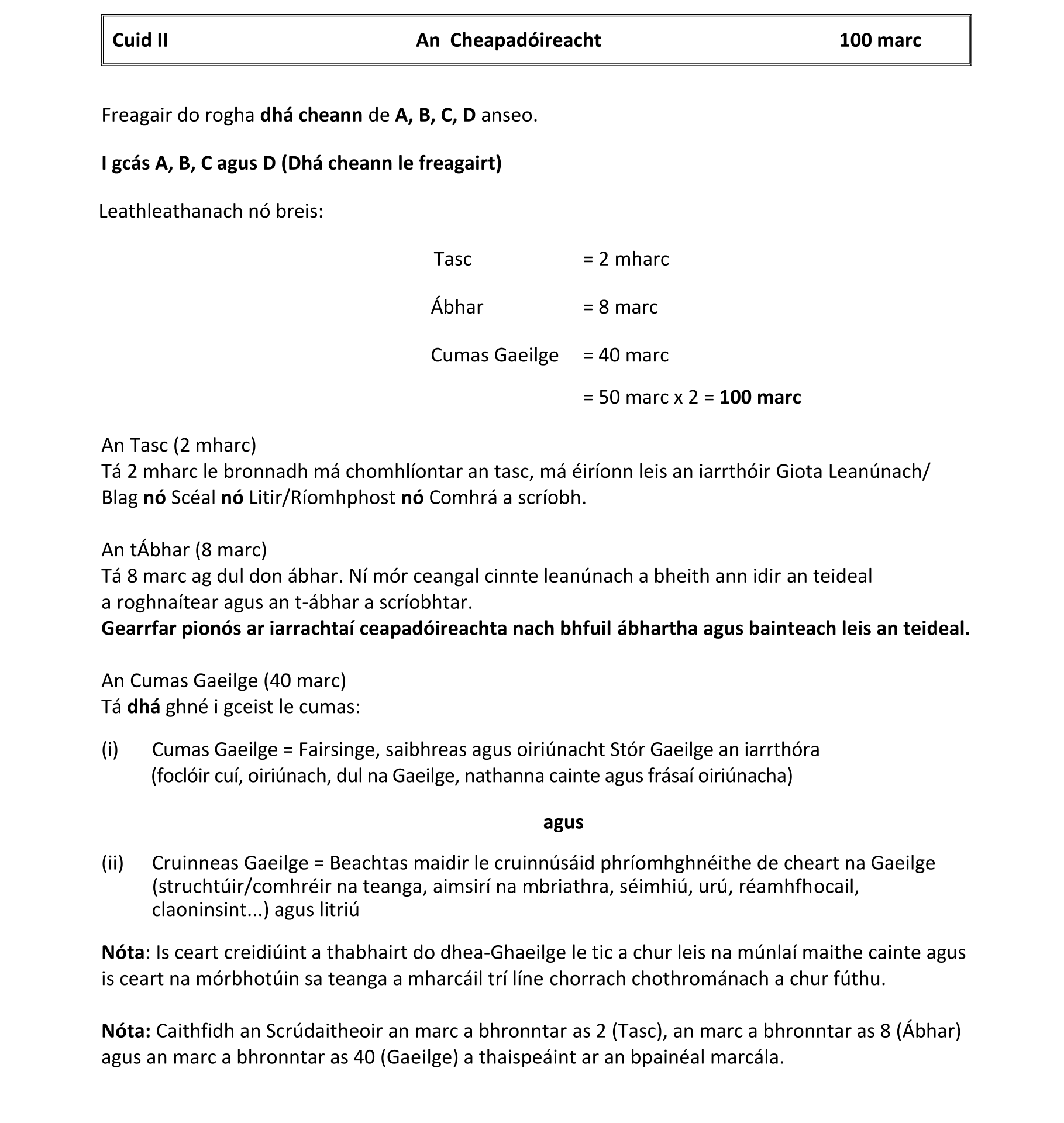
Leaving CertificateIrishOrdinary

Total Questions

21

With Solutions

18

Mock Papers

Soon...

Year Range

2007-2024

All Questions (21)