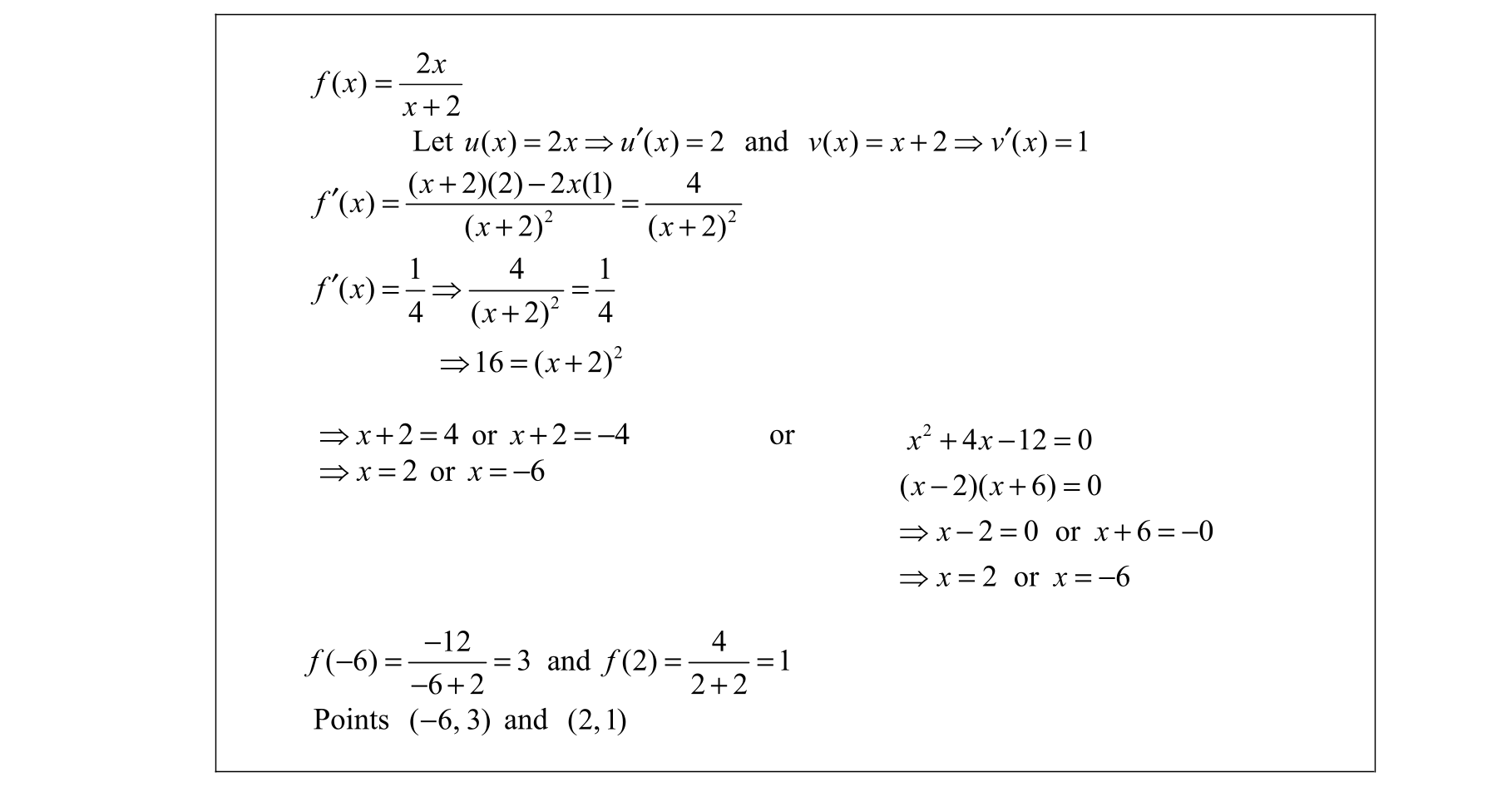
StikLeaf

differentiation applications Questions

Leaving CertificateMathematicsHigher

Total Questions

63

With Solutions

62

Mock Papers

Soon...

Year Range

2012-2024

All Questions (63)